文章搜索
猜您喜欢

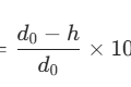
如何限定O型圈的压缩率与拉伸率?
一、压缩率的定义 压缩率是指O形圈被压缩后(工作状态下)的截面高度变化量与其原始截面直径的百分比。其计算公式为...

耐久性试验样件数量的理解(一)
耐久性台架试验是需要一定数量试验样件的,在国标QCT533-2020商用车驱动桥总成标准里以桥壳垂直弯曲疲劳试...

和供应商的设计评审都干啥,SQE你清楚吗
序: 那是10年前,我和一个采购都是刚入行,按照部门项目开发流程要求约供应商过来,第一次跟他们做设计评审。说是...

浅析圆跳动的测量
[摘要]:为了评定跳动,工件应根据基准轴线来找正,或用计算的方法来进行坐标转换。 [关键词]:跳动 测量方法 ...
即刻尝鲜

车间自检互检制度培训
不接受不良品 · 不制造不良品 · 不传递不良品 🎯 培训目标 通过本培训,您将能够: ✅ 理解自检互检制度的...

国学备览(套装12册最全国学合辑)+国学三剑客(套装三册必读国学知识)
内容简介: 《国学备览(套装共12册)》是一套中等规模的古籍丛书。该套丛书由国学网组织海内外81位古籍专家整理...

高性能密封详解——泛塞封
泛塞封是一种高性能的密封解决方案,在许多苛刻的工况下表现出色,是传统密封件(包括旋转、往复和静密封)的重要补充...

一文全面了解全氟醚橡胶材料
全氟醚橡胶材料作为高性能弹性体的代表,在极端工况下的密封领域展现出无可替代的优势。本文从相对专业的角度全面剖析...

一文全面了解碳纤维材料
1 材料性能特点与科学机理 碳纤维作为一种含碳量超过90%的高性能纤维材料,其核心性能优势源于特殊的微观结构与...
最新评论