文章搜索
猜您喜欢

来料不良,只是SQE一个人的事吗?
工厂在生产过程中,碰到的问题很多。但是有60%以上的问题都是集中在来料的不良,表面上看来料的不良是采购部门的事...

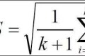
怎样求信号中的RMS值
介绍怎样评价隔振装置的隔振效果时,对于稳态工况使用RMS进行计算;对于加速工况,使用overall level...

七大管理工具:SWOT、PDCA、6W2H、SMART、WBS、时间管理、二八原则
导语: 企业的经营发展,就必须需要建立可行的管理模式。如何运用简单有效的管理工具帮助整体模式的建立,是企业需要...

鱼骨图,来一起做吧
鱼骨图是由日本管理大师石川馨先生所发明出来的,故又名石川图。鱼骨图是一种发现问题“根本原因”的方法,它也可以称...
即刻尝鲜

车间自检互检制度培训
不接受不良品 · 不制造不良品 · 不传递不良品 🎯 培训目标 通过本培训,您将能够: ✅ 理解自检互检制度的...

国学备览(套装12册最全国学合辑)+国学三剑客(套装三册必读国学知识)
内容简介: 《国学备览(套装共12册)》是一套中等规模的古籍丛书。该套丛书由国学网组织海内外81位古籍专家整理...

高性能密封详解——泛塞封
泛塞封是一种高性能的密封解决方案,在许多苛刻的工况下表现出色,是传统密封件(包括旋转、往复和静密封)的重要补充...

一文全面了解全氟醚橡胶材料
全氟醚橡胶材料作为高性能弹性体的代表,在极端工况下的密封领域展现出无可替代的优势。本文从相对专业的角度全面剖析...

一文全面了解碳纤维材料
1 材料性能特点与科学机理 碳纤维作为一种含碳量超过90%的高性能纤维材料,其核心性能优势源于特殊的微观结构与...
最新评论