共计 3822 个字符,预计需要花费 10 分钟才能阅读完成。
在开始齿轮齿面波纹度开始前,先来学习一下基本概念——波纹度和粗糙度,废话不多说,直接开始:
什么是表面粗糙度?
表面粗糙度定义为实际表面相对于波谷的较短频率。如果去观察加工零件,会注意到它们的表面体现出由一系列不同高度、深度和间距的波峰和波谷组成的复杂形状。表面粗糙度受每个零件表面微观凹凸的影响很大。粗糙度是物体表面纹理的小尺度内的变化,这些变化可能包括不规则性,例如峰和谷,通常以短波长为特征。粗糙度测量用于评估产品表面光洁度的质量和性能。它会影响摩擦、磨损、密封和美观等特性。测量粗糙度的常用方法包括轮廓仪和表面光洁度符号,通常用 Ra(平均粗糙度)、Rz(平均粗糙度深度)和 Rq(均方根粗糙度)表示。

粗糙度 通常是由切削刀具或加工过程的作用产生的过程痕迹,但可能包括其他因素,例如材料的结构。
波纹度
波纹度是指在较长波长范围内发生的表面较大尺度变化。它是对偏离标称表面的偏差的测量,其发生速度比粗糙度要慢。波纹度可能由多种因素造成,例如加工、铸造和材料翘曲。表面的波纹度通常使用形状测试仪测量,形状测试仪使用传感器测量较大区域内的表面轮廓。波纹度由 Wt、Wp 和 Ws 等参数表征,它们分别描述波的总高度、峰高和间距。

波纹度表示物体表面较大的不规则性或偏差,其波长比粗糙度长,但比形状短。这些偏差的特点是波长较长,可以被认为是表面上的起伏产生的图形。波纹度测量在物体的整体形状和形状至关重要的应用中非常重要,例如精密加工和光学元件制造。波纹度通常使用轮廓测量仪等仪器来测量。
波纹度 通常是由于加工过程中的不稳定造成的,例如砂轮的不平衡,或者是加工过程中的异常造成的。波纹度的波长比粗糙度的波长长,粗糙度叠加在波纹度上。

上面这张图,非常直观的阐释了粗糙度、波纹度和形状这三者的区别。下面是更专业的解释:
原始轮廓:是对表面轮廓采用λs 滤波器抑制长波已经以后形成的轮廓,是评定原始轮廓参数的基础;粗糙度轮廓:是对原始轮廓采用λc 滤波器抑制长波成分以后形成的轮廓,是评定粗糙度的基础;波纹度轮廓:是对原始轮廓连续应用λf 和λc 两个滤波起器以后形成的轮廓。λf 滤波器抑制长波成分,而λc 滤波器抑制短波成分得到的,是评定波纹度参数的基础。从定义可以看出粗糙度轮廓和波纹度轮廓都是故意修正的轮廓。

目前有两种方法区分表面粗糙度和波纹度:一种是用波动间距的大小来区分粗糙度、波纹度,即波动间距小于 1mm 的为粗糙度,波动间距在 1~10mm 之间的为波纹度。从波纹度、粗糙度、形状误差的定义来看,这种划分是不严谨的。另一种是按GB/T18618-2002的规定间距来区分波纹度和粗糙度的间距:粗糙度为0<间距≤A,波纹度为 A<间距≤B,界限值 A、B 的取值见下表:
描述波纹度的主要参数及意义对表面粗糙度的评定参数多达数十个,评定表面粗糙度的参数同样适用于波纹度。常用评定波纹度的参数:
幅度参数(峰和谷):最大轮廓峰高(Wp)、最大轮廓谷深(Wv)轮廓的最大高度(Wz),轮廓单元的平均线高度(Wc)、轮廓的总高度(Wt)其中 W 代表所评定参数是来自波纹度轮廓。这5个参数是描述波纹度的基本参数,从参数的名称即可理解参数的几何意义,可以直接从轮廓图形上读出或算出
幅度参数(纵坐标平均值):
(1) 轮廓的算术平均偏差 (Wa)(arithmeticalmean deviation of the assessed profile Wa),在一个取样长度内纵坐标值 Z(x)绝对值的算术平均值:

(2)轮廓的均方根偏差(Wq)(root mean square deviation of the assessed profile Wq)在一个取样长度内纵坐标值 Z(x)的均方根值,描述的是轮廓偏离中心的距离。

我们常用 Ra 和 Rq 评定机械加工表面的粗糙度,与其相对应的波纹度中的参数是 Wa 和 Wq从计算公式看:其数值的大小只与轮廓上的点到基准线之间的距离有关,属于一维参数,不能反映峰的形状、陡度、尺寸大小以及出现的频率,而在零件的实际磨合过程以及使用过程中峰的形状、陡度、尺寸大小以及出现的频率等参数影响着磨合时间的长短、磨合的成败以及相关零件的使用寿命。
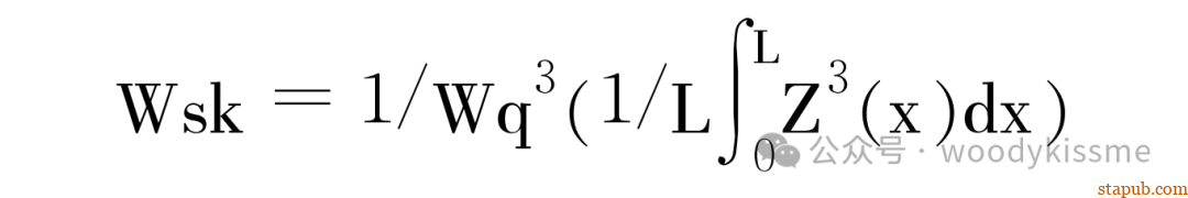
(3)轮廓的偏斜度(Wsk)(skewness of the assessed profile Wsk) 在一个取样长度内纵坐标值 Z(x)三次方的平均值与 Wq 的三次方的比值,是坐标值概率密度函数的不对称性的测定检测的结果受离散的峰和谷的影响大。

(4)轮廓的陡度(Wku)(kurtosis of the assessedprofile Wku)在取样长度内纵坐标值 Z(x) 四次方的平均值 Wq 的四次方的比值,是对坐标值概率密度函数锐度的测定。

波纹度产生的原因
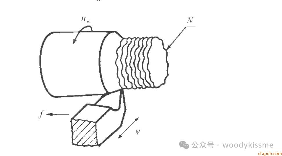
以车削加工为例,车削真可谓是机械之母了。刀具几何角度、切削三要素等等这些都是以它为例,波纹度也不例外:
切削加工中波纹度产生的原因通常认为有2种:
- ①刀具振痕在工件表面上的简单再现;
- ②切削振动与波纹度是因果关系

在车削加工中如果工艺系统发生振动,设刀具与工件的相对振动频率为 ν,每振动一次的周期为1ν,工件的转速为 nw,工件每转一周的周期为60nw。故工件转一周后在其表面上反映有 N 次振动,即工件表面上每周的波纹度:

根据波纹度是刀具与工件发生相对振动时,刀具振痕在工件表面上简单再现的观点,刀具与工件每周的相对振动数,应与波纹数相等。 故当知道工件表面上每周的波纹数 N 和工件的转速 nw即可求出相应的振动频率

式(1)、式(2)是根据波纹度是刀具振痕在工件表面上简单再现的观点得出的。表明在切削加工中,已知刀具的振动频率和工件转速,可求出工件表面上每周的波纹数;或者已知每周的波纹数和工件的转速,可求出相应的振动频率。波纹度的波高 W应与切削振动的双波幅2A 相等或小于2A,即

工件表面上没转的波纹数为:

式中 Nl——每转刀具与工件相对振动数中的整数;
ε——每转刀具与工件相对振动数中的余数;
m——切痕倍数

波纹度的波高与切削振动的波幅之间的关系为当副偏角 κlr=0°时,波纹度的波高

当副偏角 κlr≠0°时,波纹度的波高

式中:A——切削振动为正弦波的横波
φ——工件前后两周的相位差(°);
h——振动位移中线逐次升高值mm。
i=1,2,3,…m
副偏角不为0°时,在一个切削痕迹内的小波峰是逐渐升高的。副偏角大,小波峰的高度差大,切痕的高度差亦大。反之,切痕的高度差小,但副偏角的大小不能改变工件圆周方向上的波纹数。
在金属切削加工中:若工艺系统发生颤振,切痕倍数一般为 m=2~8。在车削、刨削、镗削等工中,一般为 m=4~5。所以,用以上方法加工出来的工件,若产生波纹度,波纹数大约是刀具与工件相对振动频率的4~5倍。
对于一般精度和低速运动的机械设备,零件的表面波纹度对设备的质量影响不大;但对于高精度、高转速的机械设备,波纹度是影响质量的关键问题之一。
改善切削加工波纹度的途径
表面波纹度是影响加工表面质量的主要原因之一。波纹度的波高值 W 越大,则波纹度越低;波纹
度的波高值 W 越小,则波纹度越高。所以可通过降低波高值 W 来改善波纹度。具体可采取以下措施:
- (1)减小或消除工艺系统的振动,工艺系统的振动是产生波纹度的主要原因,所以要设法减小或消除振动。
- (2)改变切削用量,例如在磨削加工时,在不影响工艺系统振动的前提下,可通过提高砂轮速度来降低波纹度的波高W 值。降低工件速度,磨削加工的波纹度的波高值W 随着工件速度的增加近似线性增加。
- (3)正确选择砂轮和提高工件的硬度,砂轮磨料的种类对磨削加工波纹度有影响,如果波纹度不符合要求,可更换不同牌号的砂轮。在一定范围内,工件材料的硬度越高,则磨削加工的波纹度的波高值 W 越低,所以提高工件材料的硬度,是改善磨削加工波纹度的途径之一。
- (4)修整砂轮和使用冷却润滑液。

测量粗糙度和波纹度
为了准确测量粗糙度和波纹度,可以采用各种仪器和技术:
1.表面粗糙度测试仪:专为现场测量而设计的便携式设备,可快速评估表面粗糙度。它们通常使用滑轨或探针穿过表面并立即提供粗糙度读数。

2. 轮廓仪:这些仪器使用触针追踪表面并测量其粗糙度,产生 Ra、Rz 和 Rq 等参数。

3.光学轮廓仪:这些系统利用光学技术,可以高精度地对表面形貌进行非接触式测量。

这种技术通常基于光学原理,使用激光或结构化白光等光来捕捉表面的形貌,而无需物理接触。这些系统使用摄像头或其他传感器在将光图案投射到表面上后检测光的反射。然后通过分析反射图案的变化来确定表面粗糙度。
4.轮廓测量设备:这些仪器可以捕捉物体表面的整体形状和波纹度,这在形状精度至关重要的应用中尤为重要。

表面质量的重要性:
了解和控制粗糙度和波纹度对于各个行业都至关重要,主要原因总结有三点:
1.功能性:在机械工程和制造等应用中,保持适当的粗糙度对于减少摩擦、增强耐磨性和优化性能至关重要。另一方面,波纹度可确保齿轮和轴承等部件的正常运转,而这些部件的不规则性可能会导致故障。
2.美观:表面粗糙度会影响产品的外观和手感。在消费品中,外观很重要。实现所需的表面光洁度和纹理对于消费电子产品、汽车内饰和各种其他产品至关重要。粗糙度和波纹度的控制对产品美观起着重要作用。
3.密封和润滑:在汽车和航空航天等领域,适当的表面光洁度对于确保有效的密封和润滑至关重要。在粘合、喷漆、涂层或印刷应用中,表面粗糙度决定了粘合的强度和耐久性。良好控制的表面粗糙度可防止泄漏和摩擦,从而实现更高效、更可靠的系统。
